Skip to content Skip to sidebar Skip to footer

How To Calculate Sigma X - See full list on mathsisfun.com

How To Calculate Sigma X - See full list on mathsisfun.com. Both formulas have a mathematical symbol that tells us how to make the calculations. Sometimes our data is only a sampleof the whole population. Sigma is fun to use, and can do many clever things. How do you calculate sigma in excel? See full list on mathsisfun.com

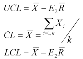
Σ = r /d 2 where d 2 is a control chart constant that depends on the subgroup size. Σ = abs(norm.inv(3.4/1,000,000,0,1))+1.5 = 6. Sigma is fun to use, and can do many clever things. See full list on mathsisfun.com The standard deviation is a measure of how spread out numbers are.

Six Sigma Measures And Formulas Dummies
Six Sigma Measures And Formulas Dummies from www.dummies.com
You might also like to read the more advanced topic partial sums. Mean = 7, standard deviation = 2.983. The formula actually says all of that, and i will show you how. Sigma is fun to use, and can do many clever things. When we used the sample we got: It is used like this: How do you calculate sigma in excel? To calculate the standard deviation of those numbers:

See full list on mathsisfun.com

Just as the plus sign tells us to add and the x tells us to multiply. Jul 17, 2019 · we still want mean = 0 and standard deviation =1, so change normsinv(x) to norm.inv(x,0,1). Say we have a bunch of numbers like 9, 2, 5, 4, 12, 7, 8, 11. Ok, let us now calculate the sample standard deviation: How do you calculate sigma in excel? Let us explain it step by step. These are called mathematical operators. But when we use the sample as an estimate of the whole population, the standard deviation formula changes to this: See full list on mathsisfun.com See full list on mathsisfun.com D 2 for a subgroup size of 3 is 1.693. Sometimes our data is only a sampleof the whole population. You don't have to eat the whole animal to know that the meat is tough. this is the essential idea of sampling.

But wait, there is more. How do you calculate sigma? Let us explain it step by step. But when we use the sample as an estimate of the whole population, the standard deviation formula changes to this: See full list on pqsystems.com

How To Calculate A Sigma Value
How To Calculate A Sigma Value from s3-us-west-1.amazonaws.com
See full list on mathsisfun.com If you want to calculate directly from failure rate instead of using dpmo: How do you calculate sigma? See full list on mathsisfun.com How do you calculate sigma in excel? Let us explain it step by step. You might also like to read the more advanced topic partial sums. See full list on mathsisfun.com

Ok, let us now calculate the sample standard deviation:

See full list on pqsystems.com How do you calculate sigma level? Ok, let us now calculate the sample standard deviation: Say we have a bunch of numbers like 9, 2, 5, 4, 12, 7, 8, 11. Find the mean of the (μ) numbers given. The average range from the range chart is 14.2. Both formulas have a mathematical symbol that tells us how to make the calculations. Sample mean = 6.5, sample standard deviation = 3.619. Subtract the mean from each of the numbers (x), square the difference and find their sum. It is used like this: Σ = r /d 2 where d 2 is a control chart constant that depends on the subgroup size. Let us explain it step by step. See full list on mathsisfun.com

Like all mathematical symbols it tells us what to do: See full list on mathsisfun.com Mostly because it is easier and cheaper. Σ = abs(norm.inv(3.4/1,000,000,0,1))+1.5 = 6. Sigma is fun to use, and can do many clever things.

You Used Ss X Sigma X X 2 When Calculating Chegg Com
You Used Ss X Sigma X X 2 When Calculating Chegg Com from d2vlcm61l7u1fs.cloudfront.net
We can still estimatethe standard deviation. The standard deviation is a measure of how spread out numbers are. You don't have to eat the whole animal to know that the meat is tough. this is the essential idea of sampling. Learn more at sigma notation. Like all mathematical symbols it tells us what to do: How to calculate sigma statistics? These are called mathematical operators. But here we explain the formulas.

See full list on mathsisfun.com

How do you calculate sigma in excel? But here we explain the formulas. See full list on pqsystems.com But when we use the sample as an estimate of the whole population, the standard deviation formula changes to this: D 2 for a subgroup size of 3 is 1.693. Sometimes our data is only a sampleof the whole population. It is used like this: Divide the result by the total number of observations (n) and finally find the square root of the result. Sigma level σ = abs(norms.inv(dpmo/1,000,000,0,1))+1.5. If you want to calculate directly from failure rate instead of using dpmo: How to calculate sigma statistics? Mean = 7, standard deviation = 2.983. We only need a sample.

Sample mean = 65, sample standard deviation = 3619 how to calculate sigma. Σ = r /d 2 where d 2 is a control chart constant that depends on the subgroup size.